Il trattamento dell'otite media acuta senza antibiotici e il rischio di mastoidite: studio di coorte retrospettivo in Inghilterra
Membro della Commissione Nazionale Vaccini
Indirizzo per corrispondenza: bartolozzi@unifi.it
L'otite media acuta (OMA) � la pi� comune infezione dei bambini, � la principale ragione per la quale un bambino viene visitato da un pediatra ed � la condizione per la quale il pediatra prescrive pi� spesso degli antibiotici.
L'otite media colpisce tutte le et�, ma soprattutto i bambini in et� prescolare.
Molti episodi di OMA sono auto-limitantesi e non richiedono un trattamento con antibiotici, ma va ricordato che l'OMA � la causa principale di sordit� e, sebbene raramente, pu� portare a meningite e mastoidite.
Esiste una grande variet� di comportamenti nei confronti del trattamento antibiotico dell'OMA: alcuni medici sono pi� sensibili a evitare inutili prescrizioni di farmaci antibiotici, mentre altri sono pi� portati all'uso degli antibiotici in tutti i casi di OMA, al fine di evitare le complicaze, come la mastoidite.
In una meta-analisi che ha riguardato 1.643 bambini � stato osservato che i bambini in et� inferiore ai 2 anni beneficiano maggiormente del trattamento antibiotico per l'OMA. In un altro studio viene concluso che l'uso pi� largo di penicillina si associa a una riduzione significativa delle ammissioni in ospedale per mastoidite, mentre, secondo un altro studio, la riduzione dell'uso degli antibiotici fra il 1993 e il 2003 ha coinciso con un aumento dei ricoveri per mastoidite in bambini al di sotto dei 4 anni.
Per rispondere in modo pi� puntuale a queste domande e a questi dubbi � stato necessario intraprendere nel Regno Unito uno studio di molto vaste proporzioni, basato sul General Practice Research Database, pubblicato sul numero di febbraio 2009 della rivista Pediatrics (Thompson PL, Gilbert RE, Lon PF et al. Effect of antibiotics for otitis media and mastoiditis in children: a retrospective cohort study using the United Kingdom General Practice Research Database. Pediatrics 2009;123:424-30).
Pazienti e metodi
Fra il 1990 e il 2006, su 2.622.348 bambini dai 3 mesi ai 15 anni, corrispondenti a 7.119.677 bambini/anno, seguiti da 423 medici di medicina generale (nel Regno Unito non esiste la figura del pediatra convenzionato), sono stati identificati 854 bambini con mastoidite. Il campione studiato corrisponde a circa al 6% delle popolazione pediatrica del regno Unito. I casi di mastoidite sono stati ricercati secondo i codici �mastoidite� e �mastoidectomia�.
I bambini sono stati considerati come �trattati� quando hanno avuto una prescrizione di antibiotici durante la stessa visita nella quale venne posta diagnosi di OMA. Se un bambino ha avuto molti episodi di otite nei 3 mesi precedenti la mastoidite, viene considerato l'episodio di otite pi� vicino alla mastoidite.
E' stato calcolato il numero necessario di otiti medie da trattare per risparmiare un caso di mastoidite (NNT).
Risultati
Degli 854 bambini con mastoidite, il maggior numero si � verificato al di sotto di un anno; il 10,3% (88 su 854) di tutte le mastoiditi ha riguardato bambini al di sotto dei due anni. Pi� della met� (492 su 854, cio� il 57,6%) erano maschi.
Solo un terzo dei bambini con mastoidite (305 su 854) aveva avuto un'OMA nei precedenti 3 mesi (Figura 1). Il tempo medio fra l'episodio di OMA e la mastoidite � stato di 21,5 giorni. Quasi la met� dei bambini con antecedenti di OMA avevano ricevuto antibiotici: di questi il 76% aveva ricevuto amoxicillina e il 15% eritromicina.
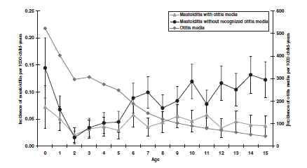
Figura 1. Incidenza per et� della mastoidite e dell'otite media fra il 1990 e il 2006.

Sono stati riscontrati 1.182.272 episodi di otite media in 462.904 bambini. Una media per bambino di 0,4 episodi di OMA per anno, diminuendo con l'aumentare dell'et�. L'et� mediana alla diagnosi di otite media fu di 5,4 anni: circa la met� degli episodi avvenne nei maschi (51,1%). L'incidenza della diagnosi di mastoidite fu pi� alta nei lattanti e pi� bassa nei bambini di due anni, aumentando con l'et� nei bambini con mastoidite, non preceduta da otite media (Figura 1). Al contrario la diagnosi di otite media diminu� con l'aumentare dell'et� (da 523/1.000 diagnosi a 44,4/1.000 bambini rispettivamente da 0 a 15 anni).
Figura 2. Incidenza annuale della diagnosi di mastoidite e prescrizione antibiotica per otite media nei bambini da 3 mesi 15 anni nel Regno Unito

L'incidenza della diagnosi di mastoidite rimase stabile fra il 1990 e il 2006 con un'incidenza media di 0,12 casi su 1.000 bambini/anno (Figura 2). In contrasto, l'incidenza della diagnosi di otite media � diminuita del 34% passando da 221,4 a 147 diagnosi per 1000 bambini per anno; nel corso degli anni anche la frequenza della prescrizione di antibiotici per OMA � diminuita del 49,6% (da 170,4 a 85,9 prescrizioni per 1000 bambini per anno). La proporzione di episodi di otite media trattata con antibiotici pass� dal 77% nel 1990 al 58% nel 2006.
La prescrizione di antibiotici per OMA ha ridotto in modo significativo il rischio di sviluppare mastoidite entro i successivi tre mesi (Tabella 1): questo rischio fu di 2,4/10.000 episodi di otite media entro 3 mesi dall'episodio di otite media. Fra i soggetti trattati con antibiotici per otite media, il rischio di otite media era di 1,8/10.000 in confronto al 3,8/10.000 fra i bambini non trattati.
Tabella 1. Rischio di mastoidite dopo otite media

In media fu necessario trattare con antibiotici 4831 episodi di otite media per prevenire lo sviluppo di 1 mastoidite in un bambino. L'NNT � risultato pi� basso nel gruppo di et� pi� avanzato, circa 2000 (Tabella 2).
Tabella 2. Numero di episodi di otite media, trattata con antibiotici per predire in un bambino lo sviluppo di mastoidite (NNT), a seconda dell'et�.

Calcolando che nel Regno Unito vi furono all'incirca 1.273.750 episodi di otite media per anno nei bambini, di cui il 58% ha ricevuto un trattamento con antibiotici, per ipotesi, cessando all'improvviso di prescrivere antibiotici per OMA, avremmo 2 casi di mastoidite ogni 10.000 otiti medie: ne deriva che ci sarebbero 255 episodi di mastoidite nei bambini per anno nel Regno Unito, a fronte della riduzione di 738.775 prescrizioni di antibiotici per anno.
Conclusioni
La mastoidite � una condizione rara che colpisce 1,2 bambini per 10.000 otiti per anno. Solo un terzo dei bambini colpiti aveva avuto un'otite media nei 3 mesi precedenti. La somministrazione di antibiotici per otite media diminu� del 50% durante il periodo dello studio, ma la percentuale di diagnosi di mastoidite rimase relativamente stabile.
La maggior parte dei bambini con mastoidite non erano stati visitati in precedenza per OMA. L'uso degli antibiotici dimezza il rischio di mastoidite, ma l'alto numero di soggetti da trattare con antibiotici per prevenire un caso di mastoidite preclude il trattamento dell'otite media, come strategia per prevenire la mastoidite (bisogna trattare con l'antibiotico mediamente 4831 bambini con OMA per prevenire un caso di mastoidite).
Sebbene la mastoidite costituisca una grave malattia, la maggior parte dei bambini presenza un decorso senza complicazioni dopo la mastoidectomia (qualora necessaria) e dopo la somministrazione di antibiotici per via venosa.
Trattare tutti i casi di OMA con antibiotici porrebbe d'altra parte dei problemi di salute pubblica, per la possibilit� della mancanza di efficacia del trattamento antibiotico, per l'insorgenza del fenomeno della resistenza agli antibiotici, per l'aumento degli effetti collaterali agli antibiotici e per il costo dell'uso di farmaci non necessari. E' importante che i medici di medicina generale e pediatri, che lavorano nelle cure primarie, siano capaci di riconoscere i segni della mastoidite (rigonfiamento al di dietro dell'orecchio e protusione del padiglione auricolare) per inviarli prontamente ai servizi di otorinolaringoiatria.
Considerazioni personali
Le prime considerazioni dei pediatri olandesi sulla necessit� di ridurre il trattamento antibiotico nella cura dell'OMA sono state successivamente confermate in letteratura. Col tempo sono stati meglio definiti i limiti di et� e di gravit� della patologia, secondo i quali, senza rischio per il bambino, poteva essere attuata la politica della �vigile attesa�. A questo proposito riporto lo schema di trattamento dei casi di OMA tratta dalle linee guida dell'AAP su questo (Tabella 3).
Tuttavia in letteratura negli ultimi anni sono comparse pubblicazioni, anche autorevoli, sul rischio aumentato di mastoidite in corso di OMA non trattata con antibiotici. Questo aumento del rischio di mastoidite ha limitato l'applicazione della politica della vigile attesa da parte di alcuni pediatri.
La pubblicazione sopra riportata per l'elevatissima dimensione del campione (oltre 7.000.000 di bambini/anno) e per la specificit� dei rilievi clinici e di trattamento, offre delle conclusioni, apparentemente definitive, sul rapporto esistente fra trattamento antibiotico dell'otite media e mastoidite e sul rischio della vigile attesa nei confronto della mastoidite.
Inoltre alcuni rilievi, scaturiti dallo studio, permettono di conoscere meglio l'epidemiologia e la patogenesi della mastoidite, elementi essenziali per intraprendere il pi� efficace trattamento dell'otite media.
Tabella 3. Criteri per il trattamento iniziale dei bambini con otite media acuta (Subcommittee on Management of Acute Otitis Media, 2004)

Sottocomitato dell'AAP per OMA � Pediatrics 2004;113;1451-65
Il rilievo pi� nuovo e pi� interessante riguarda i rapporti fra otite media e mastoidite: � risultato che i due terzi dei bambini con mastoidite non erano stati visitati precedentemente per otite, probabilmente perch� essa non era stata clinicamente rilevante. Ci� significa che, se anche trattassimo con antibiotici tutte le otiti medie, potremmo ridurre il numero delle mastoiditi, ma non riusciremmo ad eliminarle completamente.
E' vero che il trattamento antibiotico dimezza l'incidenza della mastoidite nell'otite media, ma � anche vero che nel corso di 16 anni il numero dei casi di mastoidite per anno � rimasto pressoch� uguale, nonostante che il trattamento dell'otite media con antibiotici si sia ridotto negli anni.
Il calcolo dell'NNT (cio� quanti casi di otite media dobbiamo trattare con antibiotici per impedire un caso di mastoidite) � risultato molto alto, pari a 4.831: a questo proposito gli autori della pubblicazione concludono che �l'alto numero di soggetti da trattare con antibiotici per prevenire un caso di mastoidite preclude il trattamento dell'otite media, come strategia per prevenire la mastoidite�.
Una ricerca quindi che porta tanta acqua al mulino della vigile attesa in corso di otite media acuta.
Tuttavia la lettura della pubblicazione evidenzia alcuni limiti, probabilmente legati alla stessa metodica di rilevazione retrospettiva. Alcuni di queste �debolezze� sono sottolineate dagli stessi autori.
la media dell'et� dei bambini con otite media � risultata di anni 5,4 (da 2,3 a 7,7). Ma tutti i pediatri sanno che l'OMA � una malattia dei primi anni di vita. Probabilmente vi � stata una sottodiagnosi dell'otite nel primo e dei successivi anni di et�. Ovviamente un errore nel rilievo dell'otite media ha come conseguenza delle possibili distorsioni nelle conclusioni;
non viene presa in considerazione la gravit� delle singole otiti, elemento da prendere in considerazione in qualunque valutazione sull'uso degli antibiotici nella cura dell'otite media. E' probabile che gli antibiotici siano stati usati per trattare quelle otiti che siano risultate pi� gravi, come sintomi e come dati obiettivi, fin dall'inizio;
non sappiamo nulla sulla �compliance� delle famiglie nei confronti della prescrizione degli antibiotici, per cui non necessariamente la prescrizione corrisponde alla somministrazione.
non si sa nulla sull'anamnesi clinica del periodo precedente i 3 mesi prima dell'insorgenza della mastoidite.
Questi limiti non sono tuttavia sufficienti per inficiare l'interesse della pubblicazione: gli insegnamenti che si ricavano dalla lettura sono tali da porre questo lavoro fra le pi� significativi e conclusivi su un argomento oggetto di continue controversie, a volte pi� ideologiche che basate sui risultati di studi rigorosi.
